El tensor de Ricci dicta cuál es la forma real del universo y cómo se deforma el espacio-tiempo
El tensor de Ricci conecta materia y geometría para explicar cómo el Universo se curva, evoluciona y se expande, revelando que el espacio-tiempo no es una inerte barra de carbón.

Ayer hablábamos de la Teoría General de Einstein y como una de sus soluciones nos lleva a los agujeros negros, entidades que ya han sido encontradas, primero indirectamente gracias a su gravedad y posteriormente capturadas en imagen, o al menos su sombra, un poco antes del horizonte de sucesos.
Sin embargo, allí no acaba la historia con las ecuaciones de Einstein, si nos ponemos estrictos, al resolver el sistema de 10 ecuaciones, empiezan a aparcer más resultados que pueden, o no, tener cabida en nuestro universo físico observable.
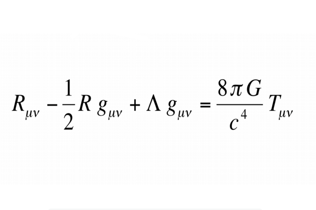
Uno de los problemas que atormentó al buen Albert, fue la solución de la ecuación que relaciona la materia, la forma del Espacio-Tiempo y como se mueven las cosas en el Universo. Básicamente, la materia representa el contenido físico del Universo, mientras que la curvatura es la respuesta geométrica del espacio-tiempo.
Aquí es cuando aparece el típico ejemplo de imaginar el tejido del espacio-tiempo como una malla invisible que se puede deformar conforme vamos colocando objetos sobre ella. La herramienta matemática que nos ayuda a entender este proceso es el tensor de Ricci.

El tensor de Ricci es el puente matemático que conecta ambas dentro de las ecuaciones de Einstein. Este objeto no describe trayectorias ni fuerzas, sino que mide cómo los volúmenes cambian cuando se mueven dentro del espacio-tiempo, revelando su curvatura interna real.
La cosmología de Ricci y el Universo temprano
Imagina una pequeña esfera formada por partículas que flotan libremente en el espacio, sin fuerzas externas actuando sobre ellas. Si el espacio-tiempo estuviera completamente “plano”, esa esfera conservaría su forma, pero si está curvado, la esfera puede comenzar a expandirse o contraerse; el tensor de Ricci mide exactamente eso.
En otras palabras, no observa trayectorias individuales, sino el cambio del volumen de un pequeño conjunto de partículas al moverse. Si disminuye, indica que el espacio se está comprimiendo en esa región y si aumenta, revela que se está expandiendo, básicamente nos sirve para cuantificar la curvatura local de manera precisa.
Esto es crucial para entender la gravedad, por ejemplo, los planetas no orbitan porque exista una fuerza misteriosa que los jale, sino porque se desplazan siguiendo la geometría curvada del espacio-tiempo alrededor del Sol. El tensor de Ricci ayuda a describir cómo esa curvatura se relaciona con la distribución de materia.
En cosmología, esta misma idea se amplía al Universo completo, con algunos modelos que incorporan directamente la curvatura, en la dinámica cósmica, generando una presión que puede ser negativa y provocar expansión acelerada. Así, la geometría deja de ser un simple efecto y se convierte en causa.
Más allá de Riemann
Este enfoque también permite entender el problema de la singularidad inicial (del cual hemos hablado en varios artículos). En donde, en lugar de un Big Bang infinito, sucede una transición geométrica más elegante, donde el Universo nace de la propia estructura del espacio-tiempo.
Sin embargo, el Universo podría ser aún más complejo de lo que Einstein imaginó. Además de la curvatura, se han encontrado propiedades geométricas como la torsión y la no-metricidad, que describen cómo el espacio puede retorcerse o cambiar sus reglas de medición.

La geometría métrica-afín permite explorar cómo la microestructura de la materia influye en la gravedad y los llamados hiperfluidos que interactúan con la torsión y la no-metricidad, modificando el comportamiento del espacio-tiempo.
Aquí, el tensor funciona como un nodo que conecta materia, geometría y dinámica, ofreciendo una entendimiento más profundo de la gravedad en condiciones extremas. Pequeñas variaciones en este equilibrio geométrico podrían alterar drásticamente la formación de galaxias.
Gravedad inversa de Ricci
Las investigaciones más recientes exploran teorías donde el tensor de Ricci juega un papel aún más radical. Por ejemplo, la gravedad inversa de Ricci, no sólo describe la curvatura, sino que su inverso define el funcionamiento de la gravedad.
Estos modelos buscan explicar la aceleración del universo actual sin introducir nuevas entidades misteriosas. La geometría, una vez más, asume el rol protagónico. También se estudian espacios donde el tensor de Ricci determina propiedades proyectivas y condiciones de planitud.
Aunque abstractos, estos conceptos permiten modelar con mayor precisión el contenido material del cosmos en los que cada avance refuerza una idea poderosa: la geometría no es estática, evoluciona, responde y gobierna el comportamiento del espacio y el tiempo.
Al final, parece que el lenguaje del Universo es la curvatura y el tensor de Ricci marca el ritmo, la materia aporta la sustancia y nosotros seguimos intentando leer, línea por línea, el libro más antiguo que existe.